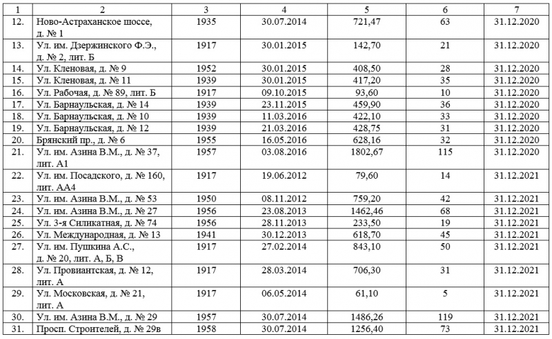
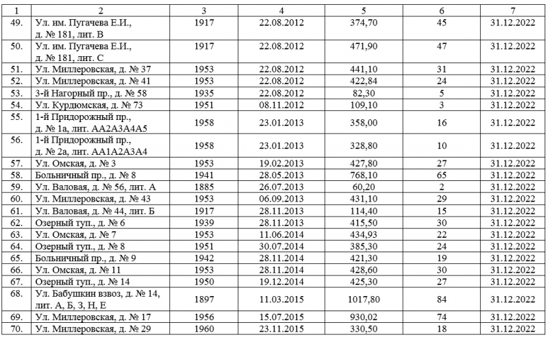
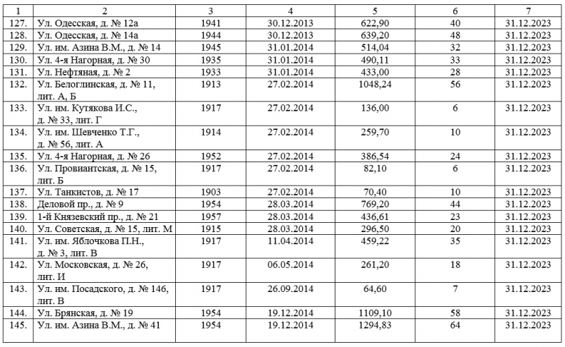
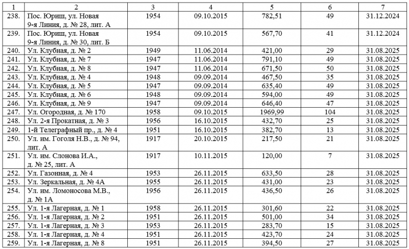
Утверждена программа переселения саратовцев из 318 аварийных домов
13:30, 3 июля 2019
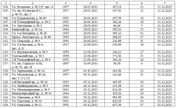
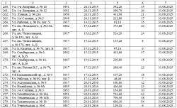
Глава Саратова Михаил Исаев утвердил ведомственную целевую программу о переселении горожан из аварийного жилья в 2019-2025 годах. В общей сложности туда входят 318 многоквартирных домов, признанных непригодными для жилья до 1 января 2017 года.
В программе указано, что всего переселению подлежат 4103 помещения, в которых проживают 9059 человек. На эти цели предусмотрено около 5,5 млрд рублей, из них 4,08 млрд – Фонд содействия реформированию жилищно-коммунального хозяйства, а 1,42 млрд – бюджет Саратова.
Согласно документу, первый этап переселения должен пройти до 31 декабря 2020 года. Все работы по перечисленным домам нужно завершить до 1 сентября 2025 года.
- 1 Судья ВС не захотела передавать дело об изъятии «Каштана» в коллегию судей
- 2 Балашовский глава Михаил Захаров ушел в отставку из-за проблем со здоровьем
- 3 Бусаргин объявил благодарность ушедшему в отставку главе Балашовского района
- 4 Бывшему замглавы администрации Ленинского района продлили домашний арест
- 5 В Аркадаке начальница МУП не выплачивала зарплату работникам 4 месяца
- 1 В топ-500 богатейших людей мира попал миллиардер из Саратова
- 2 В Саратовской области внедрят оплату проезда в автобусах через «Яндекс Go»
- 3 Шоумен из Саратова Илья Яббаров подвергся критике за оскорбление жен бойцов СВО
- 4 Под Саратовом супруги пытались дать 2 млн рублей за зачисление сына в училище
- 5 Судья ВС не захотела передавать дело об изъятии «Каштана» в коллегию судей

























