За год трудоспособное население Саратовской области сократилось на 25 тысяч человек
17:17, 30 ноября 2018
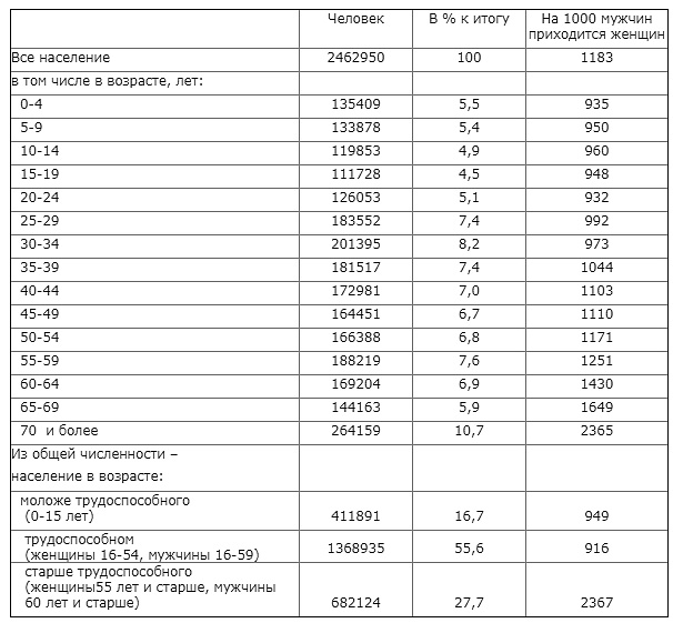
На территории Саратовской области за год убыль населения составила 16310 человек. Такие сведения обнародовал Саратовстат с разбивкой по возрастным группам (по состоянию на 1 января 2018 года).
Указано, что 1 января 2017 года были учтены 2479260 человек, а теперь 2462950. При этом соотношение по половому признаку почти не изменилось – 1183 женщины на 1000 мужчин.
В общей массе трудоспособное население (женщины от 16 до 54 лет, мужчины от 16 до 59 лет) за год сократилось на 25 тысяч человек (ранее было 1393945, сейчас 1368935). Эта группа людей составляет 55,6% от всех жителей региона, раньше цифра была чуть больше – 56,2%.
Младше трудоспособного возраста (0-15 лет) по количеству остались на прежнем уровне – более 411 тысяч человек (16,7% от общего числа).
Старше трудоспособного (женщины от 55 лет, мужчины от 60 лет) составляют 27,7% населения (ранее было 27,2%). По количеству произошел рост на 7863 человека (с 674261 до 682124).
.jpg)